Abflusskonzentration

Top  Previous  Next

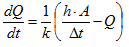
Für die Berechnung der Abflußkonzentration gilt, daß hier der Abfluß am Ausgang des Einzugsgebiets betrachtet wird. Die Vorgänge umfassen daher nicht nur den Transport des Niederschlags vom Ort der Entstehung (Abflußbildung) bis zum Einlauf in die Kanalisation, sondern auch noch weiter den Transport in den Nebensammlern bis zum Ausgang des Einzugsgebietes (bzw. Transport auf Oberflächen, in Gerinnen und im Untergrund im natürlichen Einzugsgebiet). Diese Vorgänge können mittels der Analogie des linearen Speichers sehr gut dargestellt werden. Nimmt man an, daß die Ablaufrate des Speichers proportional zum Inhalt ist, ergibt sich folgende Differentialgleichung während eines Zeitintervalls der Länge Δt:

 

                         

mit

 

Q

Δt

k

A

h

Abfluß [m3/s]

Zeitintervall [s]

Speicherkonstante [s]

abflusswirksame Fläche [m2]

abflußwirksamer Niederschlag [L]

 

Der unbekannte Parameter dieser Gleichung, die Speicherkonstante, entspricht der Verweilzeit des Wassers im Speicher. Aus der Analogie ergibt sich, dass die Speicherkonstante näherungsweise als mittlere Fließzeit (= Anlaufzeit + Fliesszeit in der Kanalisation) des Einzugsgebietes interpretiert werden kann.

 

clip0006

Spk: Speicherkonstante